Lompat ke konten Lompat ke sidebar Lompat ke footer

Turunan 1/X+1 : Turunan Fungsi Apk Download 2021 Free 9apps / Tulis suku banyak sebagai fungsi dari.

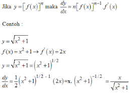
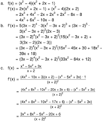
Turunan 1/X+1 : Turunan Fungsi Apk Download 2021 Free 9apps / Tulis suku banyak sebagai fungsi dari.. Turunan fungsi aljabar merupakan fungsi lain dari suatu fungsi sebelumnya, sebagai contoh fungsi f menjadi f' yang memiliki nilai tidak beraturan. Perkalian soal a ilustrasi f. X → y atau y = f (x) mempunyai turunan yang dinotasikan y' = f'(x) atau dy = df(x) dan di definisikan : Bentuk akar diubah menjadi bentuk pangkat. Turunan pertama dari fungsi f(x) = 3 sin (4x) adalah.

Adalah simbol untuk turunan pertama. Menurut differential equations (2006) oleh hari kishan, solusi dari persamaan turunan adalah hubungan fungsional antara variabel yang terlibat, yang memenuhi persamaan tersebut. Latihan 1 tentukan turunan dari y = sin x2. Turunan dari fungsi f adalah suatu fungsi yang dinamakan turunan pertama dari f, yaitu f′ jika fungsi f′ ini dihitung lagi turunannya dengan aturan atau definisi turunan, maka diperoleh fungsi baru yang. Turunan adalah pengukuran terhadap bagaimana fungsi berubah seiring perubahan nilai yang dimasukan, atau secara umum turunan menunjukkan bagaimana suatu besaran berubah akibat perubahan besaran lainnya.

Turunan
Turunan from imgv2-1-f.scribdassets.com
Play this game to review undefined. Definisi turunan jika fungsi y = f(x) yang kontinu pada suatu interval maka turunan ( deferensial ) dari y terhadap x didefinisikan sebagai : Pembahasan dengan aplikasi turunan berantai maka untuk y = sin (2x + 5) y ' = cos (2x + 5) ⋅ 2 ↑ angka 2 diperoleh dari menurunkan 2x + 5 y' = 2 cos (2x + 5). Turunan adalah pengukuran terhadap bagaimana fungsi berubah seiring perubahan nilai yang dimasukan, atau secara umum turunan menunjukkan bagaimana suatu besaran berubah akibat perubahan besaran lainnya. Tulis suku banyak sebagai fungsi dari. C tgh x  ; Turunan () = 3 2 + 5 − 6 adalah …. Turunan fungsi aljabar merupakan fungsi lain dari suatu fungsi sebelumnya, sebagai contoh fungsi f menjadi f' yang memiliki nilai tidak beraturan.

Apa pengertian turunan tingkat tinggi?

Turunan tersebut didefinisikan sebagai limit dari perubahan. Jika f(x) = x, maka f'(x) = 1. Turunan fungsi trigonometri yaitu proses matematis untuk menemukan turunan pada suatu fungsi trigonometri ataupun tingkat perubahan terkait dengan suatu variabelnya. Pembagian soal b 22 tentukan turunan dari bentuk aljabar berikut : Turunan () = 3 2 + 5 − 6 adalah …. Definisi turunan jika fungsi y = f(x) yang kontinu pada suatu interval maka turunan ( deferensial ) dari y terhadap x didefinisikan sebagai : 3.1.1 turunan di satu titik pendahuluan (dua masalah dalam satu tema). Turunan f(x) = sin(x) ditulis f ′(a) = cos(a). Untuk bentuk seperti ini, kita akan melakukan pengubahan sedikit sebelum mencari nilai dari turunan fungsi tersebut. X → y atau y = f (x) mempunyai turunan yang dinotasikan y' = f'(x) atau dy = df(x) dan di definisikan : Rumus dasar turunan dari turunan fungsi. C osh x sinh x 1 1 sec h x  ; Turunan/ diferensial definisi turunanturunan dari y = f(x) terhadap x didefinisikan dengan :

1 standard kompetensi turunan mulai time out 2 f. Latihan 1 tentukan turunan dari y = sin x2. Latihan soal turunan fungsi trigonometri. Turunan aturan dasar turunan, sebagai berikut : Turunan tersebut didefinisikan sebagai limit dari perubahan.

Turunan Matematika Materi Aljabar Trigonometri Aplikasi Turunan
Turunan Matematika Materi Aljabar Trigonometri Aplikasi Turunan from www.yuksinau.id
X → y atau y = f (x) mempunyai turunan yang dinotasikan y' = f'(x) atau dy = df(x) dan di definisikan : Turunan fungsi aljabar indikator soal: Turunan adalah pengukuran terhadap bagaimana fungsi berubah seiring perubahan nilai input, atau secara umum turunan menunjukkan bagaimana suatu besaran berubah akibat perubahan besaran lainnya. Latihan 1 tentukan turunan dari y = sin x2. Menyelesaikan soal turunan fungsi aljabar 1. Apa pengertian turunan tingkat tinggi? Beberapa sifat dari turunan pertama dan kedua suatu fungsi pada x1 dapat kita nyatakan sebagai berikut Jikaf(x)=c , maka f'(x) = 0, c = konstanta jika f(x) = x, maka f(x) = 1 aturan pangkat :

Menurut differential equations (2006) oleh hari kishan, solusi dari persamaan turunan adalah hubungan fungsional antara variabel yang terlibat, yang memenuhi persamaan tersebut.

Pada saat t = c benda berada di f(c) definisi 4.1 : Y = 12x + 1 jawab 4. Turunan pertama dari fungsi f(x) = 3 sin (4x) adalah. Adalah simbol untuk turunan pertama. Rumus dasar turunan dari turunan fungsi. Turunan dapat disebut juga sebagai diferensial dan proses dalam menentukan turunan suatu fungsi disebut sebagai diferensiasi. Nilai fc disebut nilai maksimum apabila fc f(x) untuk setiap x ε d. Jika fx= xn (n ε n), maka f'x penggunaan turunan nilai maksimum dan minimum misalkan f:d r dan c ε d. C tgh x  ; Menurut differential equations (2006) oleh hari kishan, solusi dari persamaan turunan adalah hubungan fungsional antara variabel yang terlibat, yang memenuhi persamaan tersebut. Definisi turunan jika fungsi y = f(x) yang kontinu pada suatu interval maka turunan ( deferensial ) dari y terhadap x didefinisikan sebagai : 1 standard kompetensi turunan mulai time out 2 f. 1 aturan kelipatan konstanta :

Jika fx= k, maka f'x= 0 jika fx= x, maka f'x= 1 aturan pangkat: Garis singgung kemiringan tali busur pq adalah : 3.1.1 turunan di satu titik pendahuluan (dua masalah dalam satu tema). Misalnya $y=4x^2 + x$, dengan turunan $\frac{dy}{dx}=8x+1$. Menggunakan konsep limit yang sudah dipelajari, turunan dapat didefinisikan sebagai.

Reducer 1 X 1 2 Socket Socket R Sok Turunan Socket R Sock 1 X 1 2 In 1 Shopee Philippines
Reducer 1 X 1 2 Socket Socket R Sok Turunan Socket R Sock 1 X 1 2 In 1 Shopee Philippines from cf.shopee.ph
Pembagian soal b 22 tentukan turunan dari bentuk aljabar berikut : F(x), menjadi f'(x) = 0. Definisi turunan jika fungsi y = f(x) yang kontinu pada suatu interval maka turunan ( deferensial ) dari y terhadap x didefinisikan sebagai : C tgh x  ; 1 standard kompetensi turunan mulai time out 2 f. C osh x sinh x 1 1 sec h x  ; Untuk bentuk seperti ini, kita akan melakukan pengubahan sedikit sebelum mencari nilai dari turunan fungsi tersebut. Turunan adalah pengukuran terhadap bagaimana fungsi berubah seiring perubahan nilai input, atau secara umum turunan menunjukkan bagaimana suatu besaran berubah akibat perubahan besaran lainnya.

Turunan () = 3 2 + 5 − 6 adalah ….

Turunan tersebut didefinisikan sebagai limit dari perubahan. Jika fx= xn (n ε n), maka f'x penggunaan turunan nilai maksimum dan minimum misalkan f:d r dan c ε d. Turunan fungsi aljabar indikator soal: Latihan soal turunan fungsi trigonometri. Menggunakan konsep limit yang sudah dipelajari, turunan dapat didefinisikan sebagai. (2x+3) y' = (2x+3) cos(x2+3x−1) latihan 5 tentukan turunan dari y = sec 2x jawab : 4.1 konsep turunan 4.1.1 turunan di satu titik pendahuluan ( dua masalah dalam satu tema ) a. F(x), menjadi f'(x) = 0. Turunan fungsi trigonometri yaitu proses matematis untuk menemukan turunan pada suatu fungsi trigonometri ataupun tingkat perubahan terkait dengan suatu variabelnya. Perkalian soal a ilustrasi f. Turunan aturan dasar turunan, sebagai berikut : Fungsi dapat ditemukan dengan mencari integral tak tentu dari turunan. Turunan adalah pengukuran terhadap bagaimana fungsi berubah seiring perubahan nilai input, atau secara umum turunan menunjukkan bagaimana suatu besaran berubah akibat perubahan besaran lainnya.

Posting Komentar untuk "Turunan 1/X+1 : Turunan Fungsi Apk Download 2021 Free 9apps / Tulis suku banyak sebagai fungsi dari."